Interest in Sharing Resources in PA

Hello fellow Pennsylvanians – anyone interested in sharing resources in PA – possible referrals to specialists like OB-Gyn, Neurology, Oncology, Rheumatology, Pharmacies etc. Would love to connect. Linda

Spikeopathy clearly contributed to the tripling in anxiety since COVID started. Spike protein binds to acetylcholine receptors, thus gumming up the parasympathetic system (rest and digest) and leaving us with the sympathetic nervous system unchecked (fight or flight).

In the paper HRV is at the top of the anxiety biomarkers. HRV represents vagal tone and once again the vagus nerve is front and center in the parasympathetic nervous system. So, in addition to the naturopathic suggestions in the article, any of the other modalities for improving vagal tone can help as well such as grounding/earthing, and stimulation devices.

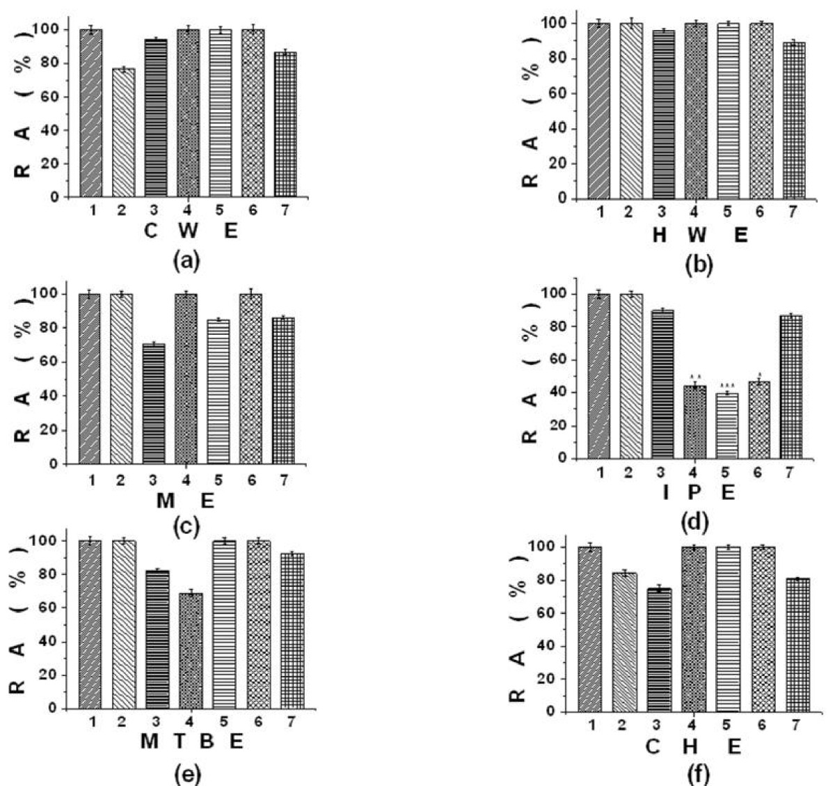
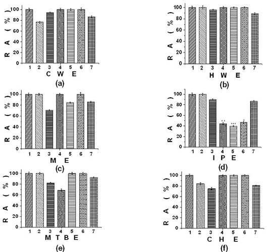
Another anxiety biomarker that stood out to me is higher alpha-amylase production. For those that aren’t familiar, alpha-amylase is a substance our body produces that breaks down starch. So, the net effect will be fast starch breakdown and higher glucose spikes. So, the trend of higher diabetes since COVID … this certainly could be contributing to that. It just so happens that there are natural ways to address high levels with “alpha-amylase inhibitors”.

“This study endorses the use of these plants for further studies to determine their potential for type 2 diabetes management. Results suggests that extracts of Linum usitatisumum, Morus alba and Ocimum tenuiflorum act effectively as PPA inhibitors leading to a reduction in starch hydrolysis and hence eventually to lowered glucose levels.”

To put that into plain language:

- Ocimum tenuiflorum (Holy basil): Potent inhibitor with IC₅₀ of 8.9 μg/mL.

- Linum usitatissimum (Flaxseed) and Morus alba (White mulberry): Moderate inhibitors.

- Other promising plants include:

- Aloe vera

- Cinnamomum verum (True cinnamon)

- Zingiber officinale (Ginger)

- Trigonella foenum-graecum (Fenugreek)

These plants contain flavonoids, tannins, alkaloids, and saponins, which contribute to their inhibitory effects.

And to add one more to the list for slowing starch breakdown - vinegar.

What I’ve listed above are for treating the biological symptoms associated with the increased anxiety rather than addressing the anxiety itself.